网站首页
走进一高
学校概况
现任领导
校园掠影
名师风采
校友佳音
校园新闻
校务公开
规章制度
重大事项
公示公告
党建园地
党建动态
学习园地
专题教育
处室建设
党政办
学术委员会
教务处
政教处
群团处
总务处
财务处
课程基地
德育长廊
常规管理
主题活动
心灵之窗
生涯规划
家长学校
法言法语
一周大事记
网站首页
走进一高
学校概况
现任领导
校园掠影
名师风采
校友佳音
校园新闻
校务公开
规章制度
重大事项
公示公告
党建园地
党建动态
学习园地
专题教育
处室建设
党政办
学术委员会
教务处
政教处
群团处
总务处
财务处
课程基地
德育长廊
常规管理
主题活动
心灵之窗
生涯规划
家长学校
法言法语
一周大事记
教学天地
教学实践
教学研究
教学成果
招生考试
教研沙龙
教研动态
课题研究
论文在线
名师工作室
学科建设
督导考评
国际教育
主题教育
知识产权教育
公示公告
您的位置:
首页
校务公开
>
公示公告
>
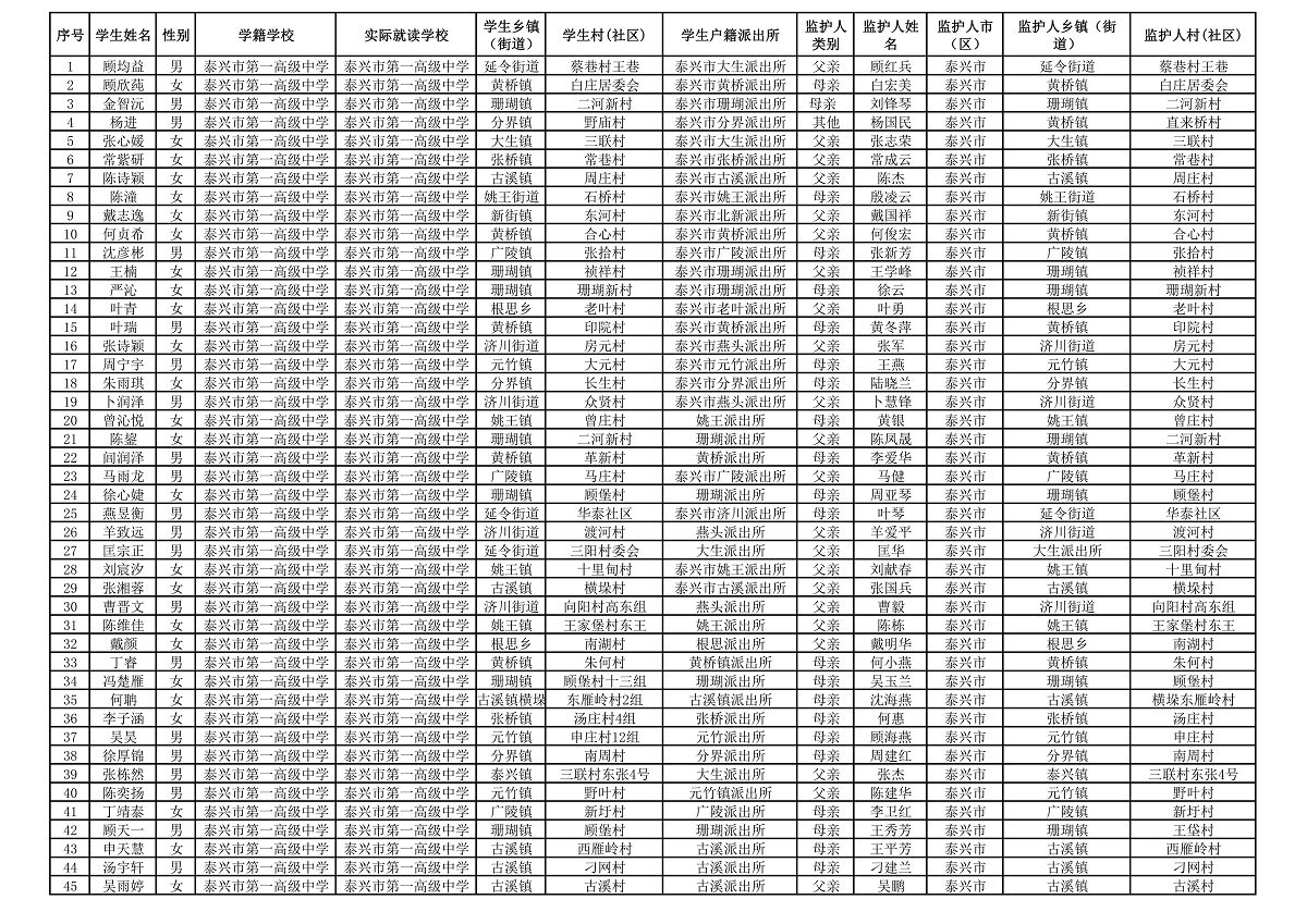
阳光高考平台审核通过学生信息公示
发布时间:2024-05-07